बजाग थाना क्षेत्र की ग्राम पंचायतों में आयोजित होंगे ग्राम चौपाल, पुलिस करेगी जनसंवाद,

दैनिक रेवांचल टाइम्स बजाग – ग्रामीण अंचलों में बढ़ती सड़क दुर्घटनाओं, सायबर अपराध, यातायात नियमों के उल्लंघन, महिलाओं के विरुद्ध अपराध एवं पुलिस से संबंधित जनसमस्याओं के समाधान को लेकर थाना बजाग पुलिस द्वारा ग्राम पंचायत स्तर पर ग्राम चौपाल आयोजित की जाएंगी। यह कार्यक्रम पुलिस विभाग के वरिष्ठ अधिकारियों की उपस्थिति में जनसंवाद के रूप में संपन्न होंगे।
वही थाना प्रभारी शिवलाल मरकाम द्वारा जनपद पंचायत के मुख्य कार्यपालन अधिकारी को इस संबंध में पत्र भेजकर जानकारी दी गई है। पत्र में उल्लेख है कि ग्राम चौपाल के माध्यम से आमजन को कानून संबंधी जानकारी दी जाएगी तथा उनकी समस्याओं, शिकायतों एवं सुझावों को सीधे सुना जाएगा। कार्यक्रम में जिला पंचायत सदस्य, जनपद सदस्य, सरपंच, वार्ड पंच, सचिव, रोजगार सहायक, मोबिलाइजर सहित ग्रामीणजन उपस्थित रहेंगे। इस संबंध में प्राप्त जानकारी के अनुसार
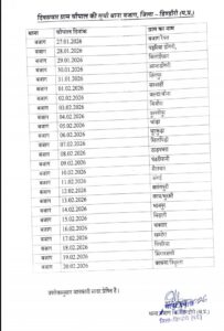
27 जनवरी से 20 फरवरी तक यह चौपाल कार्यक्रम आयोजित किए जाएंगे।
जारी कार्यक्रम सूची के अनुसार थाना बजाग क्षेत्र के विभिन्न गांवों में 27 जनवरी 2026 से 20 फरवरी 2026 तक प्रतिदिन ग्राम चौपाल का आयोजन किया जाएगा। इसमें बजाग रैयत, पड़रिया डोंगरी, बिलाईखार, आमाडोंगरी, सिंगपुर, सरवाही, जल्दा/बौना, बिजोरा, दुल्लोपुर, चांडा, धुरकुटा, सिलपिडी, ठाड़पथरा, पंडरीपानी, सैलवार, अंगई, सारंगपुर, तरच/भुरसी, भानपुर, मिड़ली, चकरार, खमेंरा, पिपरिया, सिंगारसती और बरथना/त्रिछूला सहित अनेक ग्राम शामिल हैं।
पुलिस प्रशासन का कहना है कि ग्राम चौपाल का उद्देश्य ग्रामीणों में कानून के प्रति जागरूकता बढ़ाना, आपसी विश्वास मजबूत करना और समय रहते समस्याओं का निराकरण करना है। कार्यक्रम की जानकारी संबंधित अधिकारियों एवं ग्राम पंचायतों को आवश्यक कार्रवाई हेतु भेज दी गई है।